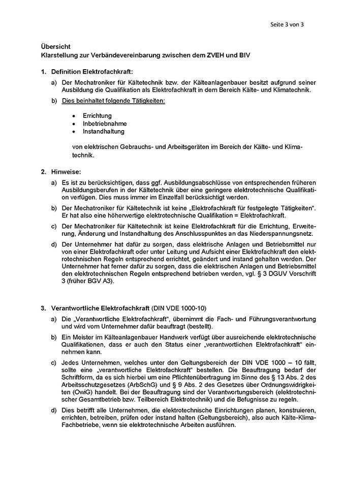
Zum Hauptinhalt springen

Mechatroniker für Kältetechnik bzw. der Kälteanlagenbauer

klimatechnik kaeltetechnik lueftungstechnik meachatroniker01aEin Beruf mit hoher Qualifikation und Zukunftsperspektive

In dem BIV Infoblatt steht es schwarz auf weiss:

"Der Mechatroniker für Kältetechnik bzw. der Kälteanlagenbauer besitzt aufgrund seiner Ausbildung die Qualifikationsvoraussetzungen für eine Elektrofachkraft."

(Auszug aus dem BIV Infoblatt) 


Für Sie unterwegs in Frankfurt, Offenbach & Rhein Main

ZENTRAL IM RHEIN-MAIN-GEBIET

Zweigstelle Frankfurt

Termine nach Vereinbarung
Schweizer Str. 15
60594 Frankfurt am Main
Büro 069 - 83 00 47 20

Hauptfirmensitz Offenbach

Bürozeiten Mo. - Fr. 06:30 - 17:00 Uhr
Im grossen Ahl 52
63075 Offenbach
Büro 069 - 83 00 47 20
Ihr Experte für Kältetechnik, Klimatechnik und Lüftungstechnik im Rhein-Main-Gebiet
Ihr Experte für Kältetechnik, Klimatechnik und Lüftungstechnik im Rhein-Main-Gebiet

Nehmen Sie Kontakt auf

info@klimaberatung.de

Eingetragenes Mitglied bei

© Klimaberatung Rolf Nagel GmbH | webdesign & seo by webranking